Forskning
Alla - Anti-Aging - NR - Fisetin - Pterostilben - Quercetin - Resveratrol - Spermadin
Forskning

David Sinclair
David Sinclair är professor vid Department of Genetics, Paul F Glenn Center for Biology of Aging Research, Harvard Medical School...
David Sinclair
David Sinclair är professor vid Department of Genetics, Paul F Glenn Center for Biology of Aging Research, Harvard Medical School...
Läs mer
Vad är Quercetin?
Quercetin är ett pigment i många växter, frukter och grönsaker med kraftfulla antioxidativa egenskaper.
Vad är Quercetin?
Quercetin är ett pigment i många växter, frukter och grönsaker med kraftfulla antioxidativa egenskaper.
Läs mer
4 Anledningar att Älska Quercetin
Quercetin är antioxidant, balanserar inflammatoriska svar och ger fördelar över hela kroppen.
4 Anledningar att Älska Quercetin
Quercetin är antioxidant, balanserar inflammatoriska svar och ger fördelar över hela kroppen.
Läs mer
Kan Fisetin lindra åldrandets negativa effekter?
När celler är stressade och behöver förhindra replikation av skadat DNA, vilket skulle kunna leda till cancer, engagerar de sig...
Kan Fisetin lindra åldrandets negativa effekter?
När celler är stressade och behöver förhindra replikation av skadat DNA, vilket skulle kunna leda till cancer, engagerar de sig...
Läs mer
Fisetin - en antioxidant i kosten för främjande...
Antioxidanter från kosten undersöks allt mer för deras hälsofrämjande effekter, inklusive deras roll i cancerförebyggande
Fisetin - en antioxidant i kosten för främjande...
Antioxidanter från kosten undersöks allt mer för deras hälsofrämjande effekter, inklusive deras roll i cancerförebyggande
Läs mer
NMN och NR — Det dynamiska paret av NAD-förstär...
Både NR och NMN har visat sig gynna hälsan hos äldre möss, och ingen av dessa behandlingar visar negativa hälsoeffekter,...
NMN och NR — Det dynamiska paret av NAD-förstär...
Både NR och NMN har visat sig gynna hälsan hos äldre möss, och ingen av dessa behandlingar visar negativa hälsoeffekter,...
Läs mer
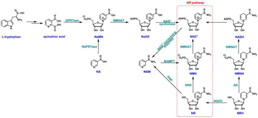
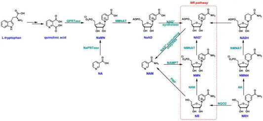
Den framväxande rollen av Nicotinamide Riboside...
Bland alla NAD+-föregångare har nicotinamidribosid (NR) fått mest uppmärksamhet som en potent NAD+-förstärkningsagent
Den framväxande rollen av Nicotinamide Riboside...
Bland alla NAD+-föregångare har nicotinamidribosid (NR) fått mest uppmärksamhet som en potent NAD+-förstärkningsagent
Läs mer
En kombinationsbehandling visar lovande effekte...
En klinisk prövning visar att behandling med nicotinamidribosid (NR) och pterostilben bromsade progressionen av ALS och förbättrade till och med...
En kombinationsbehandling visar lovande effekte...
En klinisk prövning visar att behandling med nicotinamidribosid (NR) och pterostilben bromsade progressionen av ALS och förbättrade till och med...
Läs mer
Vad är NMN?
Nicotinamidmononukleotid (NMN) är en naturligt förekommande molekyl som finns i varje levande cell hos alla livsformer.
Vad är NMN?
Nicotinamidmononukleotid (NMN) är en naturligt förekommande molekyl som finns i varje levande cell hos alla livsformer.
Läs mer
Vad händer kroppen när vi åldras?
När vi åldras blir vårt hår grått och vår hud får rynkor. Men vad händer inne i våra celler som...
Vad händer kroppen när vi åldras?
När vi åldras blir vårt hår grått och vår hud får rynkor. Men vad händer inne i våra celler som...
Läs mer
Anti-Aging piller - några av oss tar dem utan a...
Och några av oss tar dem utan att veta om det
Anti-Aging piller - några av oss tar dem utan a...
Och några av oss tar dem utan att veta om det
Läs mer
Vad är NAD⁺?
Varför är det viktigt för hälsa och livslängd?

Forskning om lång livslängd och hälsosamt åldra...
Forskning om lång livslängd: 'En bra tid för global påverkan'
Forskning om lång livslängd och hälsosamt åldra...
Forskning om lång livslängd: 'En bra tid för global påverkan'
Läs mer