
Den framväxande rollen av Nicotinamide Riboside (NR) i hälsa och sjukdomar
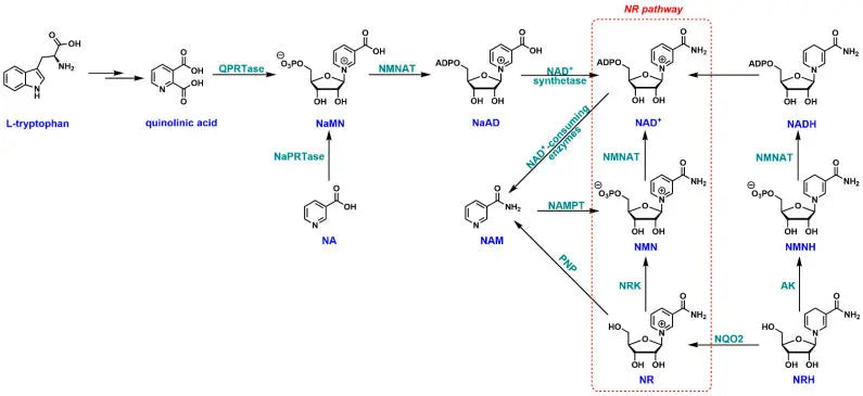
Chris TornerhielmBland alla NAD+-föregångare har nicotinamidribosid (NR) fått mest uppmärksamhet som en potent NAD+-förstärkningsbärare.
Denna nyligen upptäckta vitamin, B3, har visat utmärkta säkerhets- och effektprofiler och är oralt tillgänglig för människor. Att öka intracellulära NAD+-nivåer med NR har visats ge skyddseffekter mot ett brett spektrum av patologiska tillstånd, såsom neurodegenerativa sjukdomar, diabetes och hörselförlust. I den referrerade artikeln ges en översikt över NR-forskningen att presenteras. Den roll NR spelar i NAD+-biosyntesvägen kommer att introduceras, följt av en diskussion om syntesen av NR med kemiska och enzymatiska metoder. NR:s effekter för att reglera normal fysiologi och patofysiologi kommer också att presenteras, med fokus på studier publicerade de senaste fem åren.